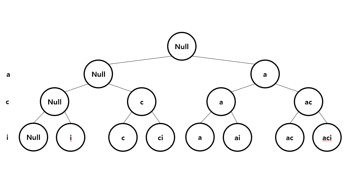
BruteForce - 모든 데이터, 경우의 수를 일일이 확인하여 해를 구하는 알고리즘 알고리즘의 기본적인 목표는 주어진 데이터를 탐색하여 해를 구하는 것이다. 알고리즘 설계는 데이터를 어떻게 탐색할 것인가에 대해 초점이 맞추어져 있는데, 이 때 데이터를 탐색하는 가장 기본적인 방법이 바로 Bruteforce이다.Bruteforce는 주어진 탐색 공간의 원소들을 일일이 탐색하며 해가 될 수 있는지 확인하는 기법이다. 데이터를 모두 탐색하기 때문에, 설정된 탐색 공간(데이터가 표현되는 공간)의 크기에 따라 알고리즘의 효율성이 결정된다고 볼 수 있다. Bruteforce 알고리즘은 크게 2가지 과정으로 동작하며, 해를 구하기 위해 반드시 필요한 기본 과정들이다. 탐색 공간의 원소를 하나씩 ..